0000-00
Статья взята из источника "Изоляционные материалы"

Двуосно-ориентированная полипропиленовая (BOPP) пленка для конденсаторов служит основным диэлектрическим материалом в металлизированных тонкопленочных конденсаторах, где поверхностные свойства напрямую определяют надежность и срок службы конденсаторов. В качестве критического этапа последующей обработки BOPP-пленок коронный разряд значительно улучшает поверхностные характеристики, однако его комплексное влияние на структуру пленки и электрические свойства остается неясным. В своем исследовании "Влияние коронного разряда на структуру и характеристики двуосно-ориентированных полипропиленовых пленок для конденсаторов", опубликованном в 10-м выпуске 2025 года журнала *Изоляционные материалы*, Ван Цзиньцин и его коллеги из Quanzhou Jiadeli Electronic Materials Co., Ltd. провели систематические эксперименты, чтобы выяснить механизмы, с помощью которых интенсивность коронного разряда влияет на физическую структуру, химическую структуру, поверхностную энергию и электрические свойства BOPP-пленок для конденсаторов.
Исследовательский фон и цели
BOPP-пленки для конденсаторов широко используются в электромобилях и интеллектуальных сетях благодаря высокой электрической прочности (>500 В/мкм) и отличным самовосстанавливающимся свойствам. Однако неполярные молекулярные цепи полипропилена приводят к низкой поверхностной энергии и плохой адгезии металлических покрытий. Коронный разряд, который вводит полярные группы на поверхность пленки посредством плазменной бомбардировки, является распространенной техникой для повышения поверхностной энергии. В этом исследовании систематически анализируется влияние интенсивности коронного разряда (0 Вт, 15 Вт, 30 Вт·мин/м²) на микроструктуру и макроскопические свойства BOPP-пленок для конденсаторов, что служит основой для оптимизации технологий производства высокопроизводительных конденсаторных пленок.

Рисунок 1 Схема процесса коронной обработки пленки
Экспериментальный дизайн и методы
В этом исследовании изучается изготовление ультратонких BOPP-пленок толщиной 2,4 мкм на промышленных линиях двуосной ориентации с фиксированными параметрами процесса растяжения и регулируемой только интенсивностью коронного разряда:
Группировка образцов: 0 Вт (без коронного разряда), 15 Вт, 30 Вт коронной обработки.
Методики анализа:
▪Кристаллическая структура:Дифференциальная сканирующая калориметрия (DSC) использовалась для анализа кривой плавления и степени кристалличности.
▪Морфология поверхности:Шероховатость поверхности (Ra, Rz, Sz) измерялась с помощью 3D оптического профилометра.
▪Химическая структура: Фурье-спектроскопия инфракрасного излучения (FTIR) использовалась для обнаружения полярных групп.
▪Испытания характеристик: поверхностное натяжение смачивания, механические свойства, диэлектрический спектр, электрическая прочность постоянного тока (аппроксимация распределением Вейбулла).

Формовочный станок для одиночных стоек


Это оборудование используется для фаски опорных стержней трансформаторов. Оно может обрабатывать Т-образные, ласточкин хвост, прямоугольные и другие комбинации форм для формовки опорных стержней.
Влияние коронной обработки на структуру пленки
1. Физическая структура:Изменение морфологии поверхности, стабильная кристаллическая структура
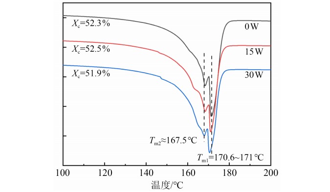
(1) Однородность кристаллической структуры:Результаты DSC показывают, что степень кристалличности трех пленок составляет около 52%, а положение пика плавления (Tm1≈170,6°C, Tm2≈167,5°C) не имеет значительных изменений, что указывает на то, что коронная обработка не изменяет кристаллическую структуру пленок.
(2) Уменьшение шероховатости поверхности: Коронная обработка вызывает физическую бомбардировку поверхности пленки, подвергающейся коронному разряду (CR-поверхность), что приводит к уменьшению высоты микроструктуры поверхности. Например, десятиточечная высота (Sz) пленки, обработанной коронным разрядом 30 Вт, уменьшилась с 860,8 нм при 0 Вт до 709,6 нм (уменьшение на 17,6%), в то время как средняя арифметическая высота (Rz) уменьшилась на 11,4%. В то же время шероховатость поверхности воздушного ножа (AK-поверхность) не показала значительных изменений, что подчеркивает локальный эффект коронной обработки.

Рисунок 2 DSC-кривые плавления пленок с различной интенсивностью коронного разряда
2. Химическая структура: Введение полярных групп, приводящее к увеличению поверхностной энергии
Спектры FTIR показали, что коронная обработка генерирует множественные полярные связи на поверхности пленки.
(1) Характеристические пики: Пик растяжения связи C-O появляется в диапазоне 1000~1300 см⁻¹, пик карбонильной группы (C=O) в диапазоне 1600~1800 см⁻¹, пик гидроксильной группы (-OH) в диапазоне 3200~3600 см⁻¹ и небольшой пик эпоксидной группы при 940 см⁻¹.
(2) Корреляция интенсивности: Увеличение интенсивности коронного разряда приводит к увеличению площади полярного пика, что указывает на то, что более высокая интенсивность коронного разряда может ввести больше полярных групп с высокой энергией связи и принципиально улучшить химическую активность поверхности пленки.

Рисунок 3 FTIR-спектры пленок с различной интенсивностью коронного разряда
Влияние коронной обработки на свойства пленки
1. Поверхностное натяжение смачивания и технологические характеристики
(1) Значительное улучшение натяжения смачивания:С помощью капельных тестов натяжение смачивания пленок 0 Вт, 15 Вт и 30 Вт составило <30 мН/м, <36 мН/м и <42 мН/м соответственно. Коронная обработка способствовала растеканию капель, демонстрируя увеличение поверхностной энергии.
(2) Улучшение эффективности намотки: Пленки без коронной обработки демонстрируют низкую поверхностную энергию, что приводит к легкому скольжению или даже повреждению во время намотки. В то же время пленки, обработанные коронным разрядом, демонстрируют улучшенную адгезию, что приводит к более плотной намотке и обеспечивает безопасность производства.

Рисунок 4 Сравнительный тест поверхностного натяжения смачивания для пленок с различной интенсивностью коронного разряда
(3) Механические свойства стабильны:Коронная обработка не оказывает очевидного влияния на прочность при растяжении, удлинение и модуль упругости пленки, что указывает на то, что модификация ограничивается поверхностным слоем.

Рисунок 5 Механические свойства пленок с различной интенсивностью коронного разряда
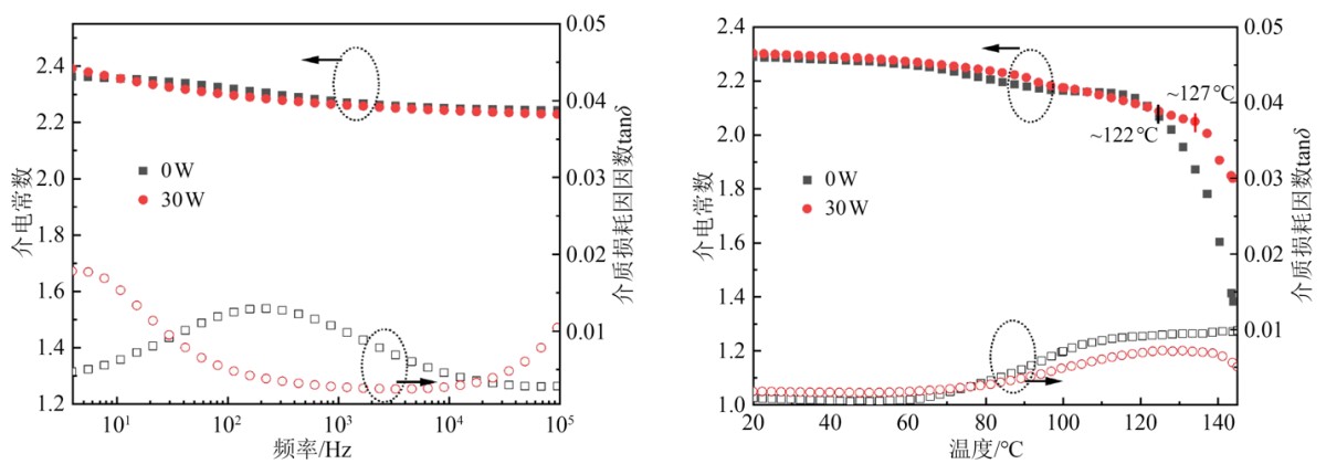
2.Диэлектрические свойства: Замедленное затухание при высоких температурах
Диэлектрическая проницаемость 30 Вт коронной пленки стабильна при 2,2~2,4 при комнатной температуре. Диэлектрическая проницаемость 30 Вт коронной пленки затухает медленнее при 120°C и выше, а пик диэлектрических потерь изменяется с запаздыванием, что указывает на то, что полярные группы улучшают диэлектрическую стабильность 30 Вт коронной пленки при высоких температурах.

Рисунок 6 (a) Частотно-зависимые диэлектрические спектры и (b) температурно-зависимые диэлектрические спектры необработанных и обработанных 30 Вт коронным разрядом пленок при комнатной температуре
(1) Минимальные вариации электрической прочности при комнатной температуре: Параметр распределения Вейбулла α (характеристическая электрическая прочность) трех пленок колеблется в пределах ±5 В/мкм.
(2) Слабое улучшение высокотемпературных характеристик: При 100°C электрическая прочность пленки, обработанной коронным разрядом 30 Вт, примерно на 17 В/мкм выше, чем у необработанной пленки, что связано с глубокими ловушками, введенными полярными группами для захвата заряда.
(3) Снижение стабильности: Коронная обработка снизила параметр Вейбулла β (дисперсия) с 7,96 (0 Вт) до 4,43 (30 Вт), что указывает на более дисперсное распределение электрической прочности. Анализ показывает, что небольшое количество сильных ловушек приводит к неравномерному распределению электрического поля, вызывая искажение поля.

Рисунок 7 Аппроксимация распределением Вейбулла электрической прочности: (a) при комнатной температуре, (b) при 100°C
Выводы исследования и инженерное значение
(1) Структурные эффекты: Коронная обработка не изменяет кристаллическую структуру, но уменьшает физическую высоту коронной поверхности; она значительно модифицирует химическую структуру, вводя полярные связи, такие как C-O и C=O.
(2) Баланс характеристик:
▪Преимущества:Улучшает натяжение смачивания (обеспечивая адгезию металлизации и безопасность намотки) и замедляет диэлектрическое затухание при высоких температурах.
▪Риск: Увеличивается дисперсия электрической прочности, что влияет на долгосрочную стабильность.
(3) Рекомендации по процессу: Интенсивность коронного разряда должна быть оптимизирована для баланса между улучшением поверхностной энергии и электрической стабильности, избегая чрезмерной обработки.
Это исследование предоставляет важные данные для улучшения характеристик BOPP-пленок для конденсаторов, прокладывая путь для будущих исследований синергетических эффектов между коронной обработкой и другими методами модификации.
Gao Mi Hong Xiang Electromechanical Technology Co., Ltd. — это частное предприятие, специализирующееся на обслуживании глобальных клиентов. Компания предоставляет три основные линейки продуктов: производство сборок силовых трансформаторов, электроизоляционный картон, ламинированную изоляционную древесину и обработку изоляционных компонентов, а также услуги формования EVA. Она также поддерживает производство специализированных машин с искусственным интеллектом. Как комплексный поставщик, она объединяет НИОКР, проектирование, производство, продажи, установку, обучение и послепродажное обслуживание. Ее продукты широко продаются внутри страны и экспортируются в Юго-Восточную Азию, Южную Америку, Индию, Пакистан, Россию и другие регионы.

НАВИГАЦИЯ
СООБЩЕНИЕ
Запросить предложение?