0000-00
Выбрано из "Изоляционные материалы"

Исследовательский фон и инновации
Быстрое развитие индустрии электромобилей предъявило более высокие требования к изоляционным материалам в приводных двигателях, требуя стабильной производительности в условиях высоких температур и нагрузок. Полиимид (PI), признанный самым термостойким материалом для изоляционных покрытий, широко используется благодаря своим превосходным свойствам. Однако предшественник полиамидной кислоты в традиционных PI-покрытиях по-прежнему демонстрирует высокую вязкость при низком содержании твердых веществ, что затрудняет равномерное многослойное нанесение. Наша команда инновационно предложила стратегию "латентного" промежуточного звена: приготовление карбоксиламинного солевого отвердителя через реакцию нейтрализации масляной кислоты и ароматических аминов, который затем вводится в олигомер PMDA-ODA с ангидридными концами. При высокотемпературном отверждении промежуточное звено разлагается с выделением аминогрупп, которые продолжают реагировать, образуя высокомолекулярный PI, тем самым балансируя требования к низковязкой обработке и высокопроизводительному покрытию.

Рисунок 1 Схематическая диаграмма пути приготовления PI изоляционного покрытия
Основная методология: молекулярный дизайн и процесс приготовления
Путем регулировки соотношения мономеров (ODA, APAB, BA, PMDA) был синтезирован ряд PI-покрытий (например, PI-P-0 до PI-P-4). Включение "латентного" промежуточного звена значительно снизило вязкость раствора покрытия — при содержании BA 5% вязкость снизилась с 1712 мПа·с до 835 мПа·с (при 20°C), тем самым повысив эффективность нанесения.
Промежуточное звено разлагалось при 180~200°C, а PI формировался при 300°C. Термическая стабильность PI была аналогична традиционному PI.

Рисунок 2 Зависимость кажущейся вязкости PI изоляционного покрытия от содержания BA

Механические ножницы Hongxiang являются важным оборудованием для повышения эффективности и качества обработки электротехнических материалов. Они обеспечивают точную и эффективную резку материалов для соответствия требованиям электротехнической промышленности к точности размеров и безопасности. Режущие кромки гладкие и без заусенцев, что гарантирует изоляционные свойства электрооборудования. Пакетная резка выполняется быстро, значительно повышая производительность.
Прорыв в производительности: комплексная оптимизация термических, механических и электрических свойств
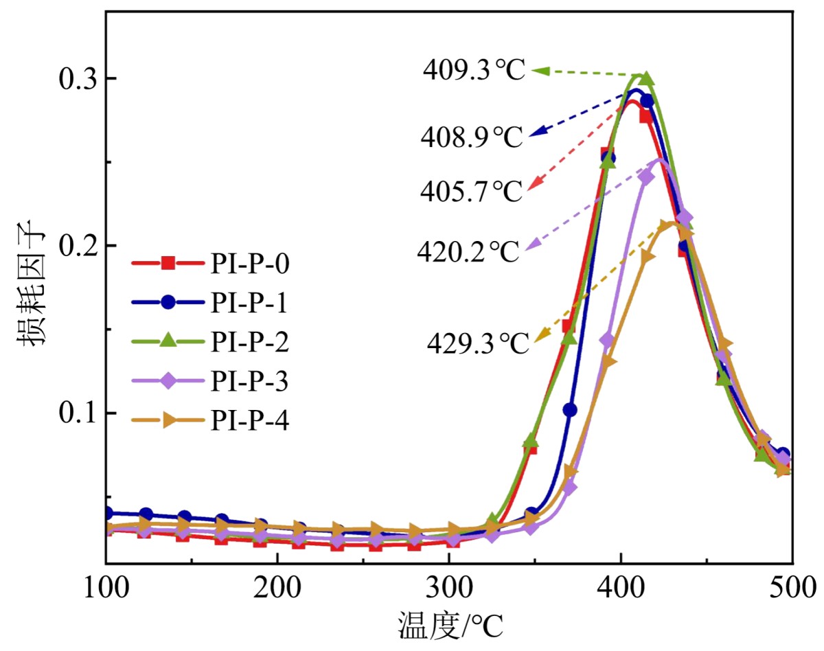
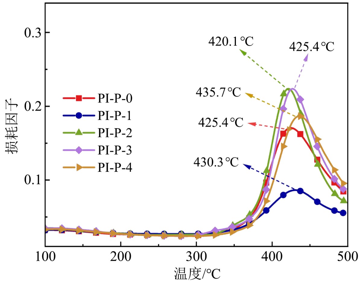
1.Значительное улучшение термостойкости
Благодаря включению жесткого мономера APAB и увеличению температуры термообработки температура стеклования (Tg) пленки превысила 420°C. Дифференциальный механический анализ (DMA) показал, что при содержании APAB 40% Tg достигла 429.3°C. После термообработки при 450°C Tg PI-P-1 дополнительно увеличилась до 430.3°C, что на 5.23% лучше по сравнению с обработкой при 350°C. Анализ XPS показал, что высокие температуры способствуют сшиванию молекулярных цепей, тем самым повышая термическую стабильность.

(a) Циклизация при 350°C

(b) Циклизация при 450°C
Рисунок 3 Кривые DMA термостойкой PI-пленки, приготовленной при разных температурах
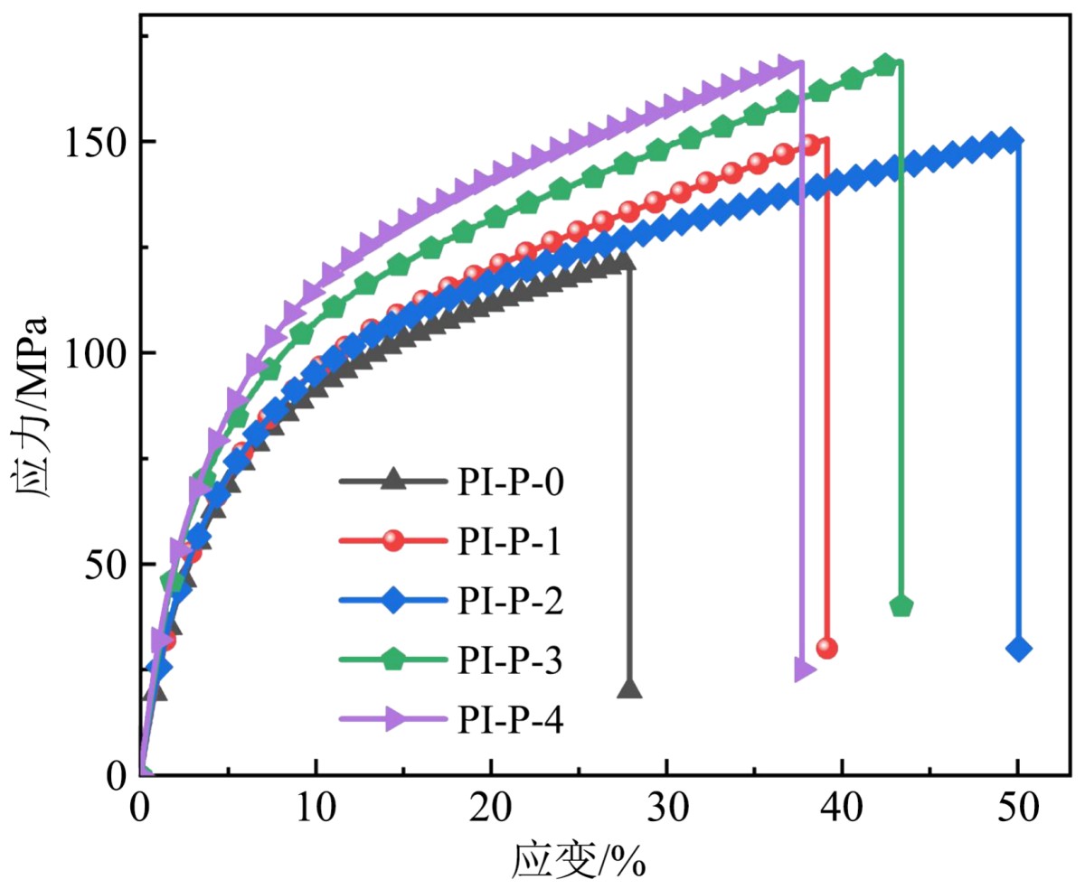
2.Отличные механические свойства:
Прочность на растяжение пленки варьируется от 147.3 до 168.5 МПа, с модулем упругости от 2.5 до 3.1 ГПа. Введение APAB увеличивает жесткость молекулярных цепей и способствует компактной упаковке; однако избыток APAB (>30%) снижает удлинение при разрыве. PI-P-1 сохраняет высокую прочность при удлинении при разрыве около 50%, балансируя между прочностью и жесткостью.

(a) Прочность на растяжение и модуль упругости

(b) Кривая напряжение-деформация
Рисунок 4 Результаты испытаний механических свойств термостойкого PI-покрытия
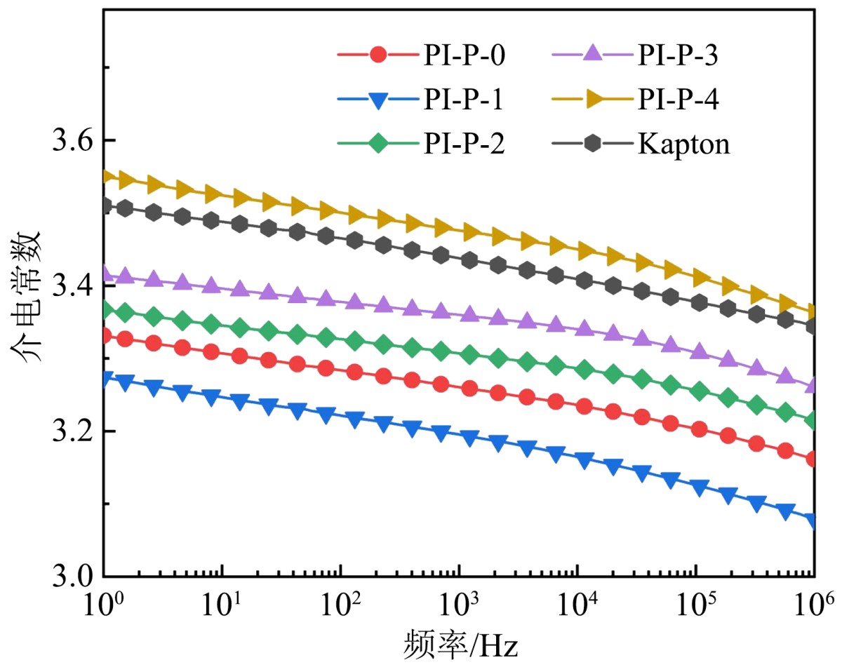
3.Электрические свойства демонстрируют стабильную и надежную производительность:
При комнатной температуре диэлектрическая постоянная ниже 3.48 (1 кГц), с коэффициентом диэлектрических потерь менее 0.019. В ходе тестов на изменение температуры пленка PI-P-1 демонстрирует оптимальную температурную стабильность диэлектрика при 450°C, с подавленными вторичными релаксационными явлениями. Электрическая прочность варьируется от 304.3 до 356.5 кВ/мм, с PI-P-2, достигающим наивысшего значения (356.5 кВ/мм), что связано с увеличением плотности упаковки молекулярных цепей.

(a) диэлектрическая постоянная

(b) Коэффициент диэлектрических потерь

(c) Температурно-зависимая диэлектрическая кривая

(d) Электрическая прочность
Рисунок 5 Результаты испытаний электрических свойств термостойкого PI-покрытия
Молекулярное моделирование раскрывает механизм
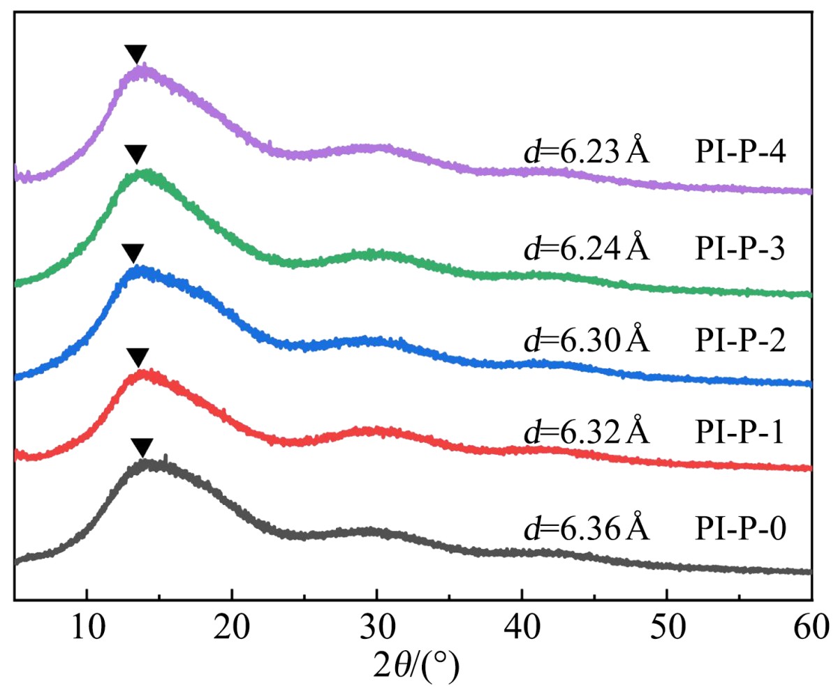
Моделирование Materials Studio показывает, что APAB снижает подвижность молекулярных цепей (уменьшенный коэффициент диффузии), а XRD подтверждает уменьшение межмолекулярного расстояния и более плотную упаковку. Это объясняет улучшенную термостойкость и диэлектрическую стабильность покрытия.

(a)Кривая MSD

(b)Результаты XRD
Рисунок 6 Среднеквадратичное отклонение различных моделей структуры PI и результаты XRD
Заключение
Это исследование успешно решило проблему высокой вязкости PI изоляционного покрытия с помощью стратегии "латентного" промежуточного звена, одновременно достигнув синергетической оптимизации термических, механических и электрических свойств покрытия. Оптимальная формула PI-P-1 (содержание APAB 10%) продемонстрировала выдающуюся комплексную производительность: Tg> 420°C, прочность на растяжение 147.3 МПа, диэлектрическая постоянная <3.48 и отличная обрабатываемость. Это достижение предоставляет новый вариант материала для изоляционной системы двигателей электромобилей, что, как ожидается, будет способствовать развитию высокопроизводительных двигателей.
В будущей работе можно дополнительно оптимизировать соотношение мономеров и изучить процессы промышленного производства для облегчения технологических улучшений в изоляционных материалах.
GaoMi HongXiang Electromechanical Technology Co., Ltd. является частным предприятием, специализирующимся на глобальном обслуживании клиентов. Компания предлагает три основные продуктовые линейки: сборку силовых трансформаторов, электроизоляционный картон, ламинированную изоляционную древесину и обработку изоляционных компонентов, поддерживаемых специализированным оборудованием на основе ИИ. Как комплексный поставщик, она объединяет НИОКР, производство, продажи, установку, обучение и послепродажное обслуживание. Ее продукция широко продается внутри страны и экспортируется в Юго-Восточную Азию, Южную Америку, Индию, Пакистан, Россию и другие регионы.

НАВИГАЦИЯ
СООБЩЕНИЕ
Запросить предложение?